loading
Pharmaceutical Grade R-(-)-5-(2-Aminopropyl)-2-methoxy-benzenesulfonamide HCl is a chemical compound that belongs to the class of drugs known as sulfonamides. It has been studied for its potential pharmacological properties, although it is not commonly used in clinical practice. The drug works by inhibiting the synthesis of folic acid in bacteria, which is essential for their growth and survival.

Mechanism of Action
Pharmaceutical Grade R-(-)-5-(2-Aminopropyl)-2-methoxy-benzenesulfonamide HCl exerts its effects by inhibiting the enzyme dihydropteroate synthase (DHPS) in bacteria. By blocking this enzyme, the drug prevents the synthesis of folic acid, which is crucial for bacterial replication and survival. This mechanism helps to inhibit the growth of bacteria and reduce infection.
Indications
While Pharmaceutical Grade R-(-)-5-(2-Aminopropyl)-2-methoxy-benzenesulfonamide HCl has shown potential antibacterial activity in laboratory studies, it is not currently approved for clinical use. Further research is needed to determine its efficacy and safety in treating infections caused by bacteria.
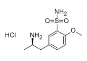
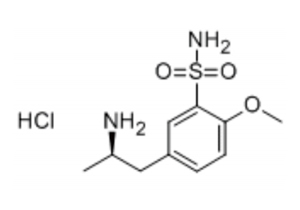
| English name: | R-(-)-5-(2-Aminopropyl)-2-methoxy-benzenesulfonamide.HCI |
| English alias: | R-(-)-5-[2-(2-AMINO-2-METHYL)ETHYL]-2-METHOXY BENZENE SULFONAMIDE HYDROCHLORIDE; R-(-)-5-[2-(2-Amino-2-Methyl)Ethyl]-2-Methoxy Benzene Sulfonamide HCl; (R)-(+)-5-(2-AMINOPROPYL)-2-METHOXYBENZENE SULFONAMIDE HYDROCHLORIDE, 98+% |
| CAS Number: | 112101-75-4 |
| Molecular formula: | C10H17ClN2O3S |
| Molecular weight: | 280.77158 |
| InChI: | InChI=1/C10H16N2O3S.ClH/c1-7(11)5-8-3-4-9(15-2)10(6-8)16(12,13)14;/h3-4,6-7H,5,11H2,1-2H3,(H2,12,13,14);1H/t7-;/m1./s1 |
| Melting point: | 103-105℃ |
content is empty!